Table of Contents
In this article, we will discuss the retaining wall and its types.
1. Introduction
A retaining wall is a rigid wall built to retain/hold soil and lateral pressures exerted by the soil.
The reasons behind lateral pressure are:
a. Earth filling
b. Granular materials behind retaining wall
c. Liquid pressure
Lateral earth pressure is 0 at top of the wall and maximum at the lowest depth ( bottom).
Provision of weep holes is done to drain off the water collected behind the wall. It also helps in water pressure reduction.
2. Importance of Retaining Wall
a. To prevent soil erosion by retaining the soil.
b. To prevent slope failure to some extent.
c. To improve aesthetic beauty.
| Read More: Breast Wall |
4. Uses of Retaining Wall
a. It is used in reshaping slopes.
b. It is used in controlling floods and erosions.
c. It is used to improve the aesthetic beauty of the properties.
| Read More: Reinforced cement concrete |
5. Types of Retaining Wall
5.1. Gravity Retaining Wall
Gravity Retaining wall depends upon its self-weight to withstand lateral earth pressures.
Commonly, this wall is big and massive as it calls for a substantial gravity load to counteract soil pressure.
Possibilities of sliding, overturning, and bearing forces should be taken into consideration while designing this wall.
It may be constituted of distinct substances like concrete, stone, and masonry units.
It is comparatively cheap for a height as much as 3m.
Crib retaining walls, gabions, and bin retaining walls also are forms of gravity retaining walls.
Suitability
Suitable to hold back the retained earth.
Types of Gravity Retaining wall
1. Mattress
2. Trapion
3. Gabion
4. Bastion
Advantages of Gravity Retaining Wall
a. Cheap and simple to construct.
b. If constructed with natural materials, it looks attractive.
Disadvantages of Gravity Retaining Wall
a. Limited to about 5m height.
b. Space needed behind the wall for construction and backfilling.
c. Not suitable for soft soils. ( Otherwise bearing failure may occur )
5.2. Gabion Retaining wall
Gabion retaining wall is multi-celled, square twine mesh boxes, that are packed with rocks or different appropriate materials.
It is hired for the production of abrasion manipulate structures. It is likewise used to stabilize steep slopes.
Suitability
Mainly in the purpose of soil stabilization behind the wall but can also be used as a cover wall.
Advantages of Gabion Retaining Wall
a. Durability
b. Flexibility
c. Strength
d. Permeability
e. Economical
Disadvantages of Gabion Retaining Wall
a. Expensive
b. Inspection is Required.
5.3. Counter-fort / Buttressed Retaining wall
It is a cantilever retaining wall however reinforced with counter forts monolithic with the returned of the wall slab and base slab.
Counter fort spacing is the same or barely large than 1/2 of the counter-fort peak. Counter-fort wall peak tiers from 8-12m.
Suitability
Suitable to reduce the shear forces and bending moments imposed on the wall by the soil.
Advantages of Counter-fort / Buttressed Retaining wall
a. Durability
b. Less Backfill
Disadvantages of Counter-fort / Buttressed Retaining wall
a. Piles or large Subcut
b. Takes a long time to construct.
5.4. Cantilevered wall
Cantilever Retaining wall composed of stem and base slab. It is comprised of bolstered concrete, precast concrete, or prestressed concrete. Cantilever Retaining wall is the maximum not unusual place kind used as Retaining walls.
Cantilever Retaining wall is both built on-site or prefabricated offsite i.e. precast. The part of the bottom slab under the backfill cloth is called a heel, and the opposite component is known as the toe.
The cantilever Retaining wall is most cost-efficient as much as the peak of 10m. It calls for a smaller amount of concrete evaluation with gravity wall however its layout and production will be performed carefully.
Similar to the gravity wall, sliding, overturning, and bearing stress will be considered at some stage in its layout.
Suitability
Suitable to improve their strength resisting high loads.
Advantages of Cantilevered wall
a. Take up small space with much of structure below ground.
b. No specialist equipment is required.
Disadvantages of Cantilevered wall
a. Prone to sliding Failure
b. Often require propping
c. Limited height up to 6m.
5.5. Reinforced Soil Retaining Wall
Both reinforced masonry walls and Reinforced concrete on spread foundations are gravity structures.
In which the stability against overturning is given by the weight of the wall and reinforcement bars in the wall.
Suitability
Suitable to restrain soil and resist the pressure of the soil that it is holding back.
Advantages
a. The flexibility of the wall
b. Very high resistance
C. Ease installation
d. The excellent appearance of the finished structure.
Disadvantages
a. Limited about 5 m height.
b. Space requires a behind the wall for construction and backfilling.
c. Not suitable for soft soils due to bearing failure.
5.6. Concrete Cantilever Retaining Wall
The Concrete cantilever Retaining wall is most cost-efficient as much as the peak of 10m. It calls for a smaller amount of concrete evaluation with gravity wall however its layout and production will be performed carefully.
Similar to the gravity wall, sliding, overturning, and bearing stress will be considered at some stage in its layout.
Suitability
Suitable to improve strength resisting high loads.
Advantages
1. It has a much thinner stem.
2. Provide most of the resistance to sliding and overturning.
Disadvantages
1. Height limited about 6 m.
2. Not suitable for soft soils due to bearing failure.
5.7. Anchored wall
This sort of Retaining wall is hired whilst the distance is constrained or a skinny Retaining wall is required.
An anchored Retaining wall is appropriate for free soil over rocks. Considerably excessive Retaining walls may be built by the use of this sort of Retaining wall shape system.
Deep cable rods or wires are pushed deep sideways into the earth, then the ends are full of concrete to offer anchor.
Suitability
Suitable for loose soil over rocks.
Advantages of Anchored wall
a. Very versatile in design Option.
b. Install Easily
c. Interlocking walls possible
Disadvantages Anchored wall
a. Quality control is critical on anchorage Capacity.
b. Require Proper Drainage.
5.8. Soil Nailing Wall
Soil Nail Wall construction proceeds from the top to bottom and head plates are installed on each nail.
Shotcrete or concrete is generally applied on the excavation face to gives continuity when a soil nail wall is constructed.
Suitability
Suitable for widening roadways, railway embankment, landslide and flood protection on the banks of rivers, highway embankment and cuttings, etc.
Advantages
1. Shotcrete facing is economical.
2. Cost-effective method for durability and stability of slope soil failure.
3. It can be applied to a relatively large area.
4. It is suitable for various applications like temporary excavation shoring, tunnel portals, repairing of failures structures, etc.
5. Installation process takes less time.
Disadvantages
1. Unsuitable for high water table areas.
2. For soil having low shear strength, high soil nail density is difficult to use.
3. Expert contractors and manpower are crucial.
4. 3D modeling designation is required.
5. Not suitable where strict deformation control is needed for structures.
5.9. Sheet Piled wall
Sheet pile walls are built by using steel sheets into a slope or excavations up to a required depth, but they cannot resist very high pressure.
Sheet pile retaining wall economical till the height of 6m.
Suitability
Suitable for retaining walls, land reclamation, underground structures such as car parks and basements.
Advantages of Sheet Piled Wall
a. Provide high resistance.
b. Lightweight
Disadvantages of Sheet Piled Wall
a. Rarely used as a Permanent structure.
b. Installation of sheet piles is Difficult.
5.10. Pile wall
Pile is a Circular structure that is used to built to support Structures.
It is used for both Temporary and Permanent works.
a. Increased construction alignment flexibility.
b. Increased wall stiffness compared to sheet piles.
c. Can be installed in difficult ground (cobbles/boulders).
d. Less noisy construction.
Disadvantages
a. Verticality tolerances may be hard to achieve for deep piles.
b. Total waterproofing is very difficult to obtain in joints.
c. Increased cost compared to sheet pile walls.
5.11. Crib wall
Crib retaining partitions are a shape of a gravity wall. They are built of interlocking character bins crafted from wood or pre-forged concrete.
Then, the bins are packed with beaten stone or different coarse granular substances to create an unfastened draining structure.
Basic sorts of crib retaining partitions consist of strengthened precast and wood retaining partitions. It is ideal to aid planter areas, however, it isn’t recommended for the aid of slopes or structures.
Types of Crib wall
Timber
Reinforced precast concrete
Suitability
Suitable to support planter areas
Advantages
a. Allows full utilization of sloping sites, maximizing usable space.
b. Quick to construct.
c. Cost effective.
Disadvantages
1. Easily can be affected by weather and chemical.
2. Cannot resist fire.
5.12. Bored pile wall
A bored pile wall is used to transfers the load on the ground to have sufficient bearing capacity to support Structures.
Piles can be increased to depths below frost penetration and seasonal moisture variation.
Suitability
Suitable for deep basements, underpasses, tunnel portals and other underground structures.
Advantages
a. Can be installed in large diameters.
b. Can be installed in very long lengths.
Disadvantages
a. Cannot be extended above the ground level without special adaptation.
b. Enlarge base cannot be formed in cohesionless soils.
6. Factors affecting selection of retaining walls
a. Height
b. Moisture
c. Aesthetics
The main factors affecting the Selection of retaining walls are:
1. Soil Type
2. Drainage
6.1. Soil Type
The retaining wall made to support soil should be able to support soil. So, the Retaining wall should be enough strong to handle and resist the pressure exerted by soil.
Retaining walls to be capable to resist the pressure exerted by soil otherwise, it will damage the structure.
6.2. Drainage
When soil contains water it will expand and there will be a change in volume. If proper Drainage should be given so that water volume does not change.
Soil shrink to its original volume if it is dry. The expansion of water volume can make structure failure too.
| Read More: Boundary wall |
7. Common Forces acted on Retaining wall
There are different types of loads and forces acting on retaining walls, which are:
a. Lateral earth pressure
b. Surcharge loads
c. Axial loads
d. Wind on projecting stem
e. Impact forces
f. Seismic earth pressure
g. Seismic wall self-weight forces
7.1. Lateral earth pressure
Lateral earth pressure is a major concern in the design process of Retaining walls. The Retaining wall is built to retain soil.
The sliding soil wedge idea is the idea for the maximum of the theories through which lateral earth stress is computed. The wedge idea shows that a triangular wedge of soil could slide down if the Retaining wall has been eliminated suddenly, and the wall has to maintain this wedge soil.
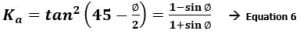
The Coulomb method of Lateral Earth Pressure Calculation

Where:
Ka: Coefficient of active pressure
: Angle of internal friction
: Angle of backfill slope
: Angle of friction between soil and wall (2/3
to 1/2
is considered)
: Slope angle of the wall which is taken from horizontal (equal to 90 degrees for the vertical wall)

The Rankine method of Lateral Earth Pressure Calculation

Where:
: Backfill slope angle
: Internal friction angle of soil ![]()
7.2. Surcharge loads Acting on Retaining Wall
Surcharge loads appearing on Retaining partitions are extra vertical loads that are used to the backfill soil above the top of the wall.
It may be both dead loads, for example, sloping backfill above the wall top or stay load, which can end result from the toll road or parking lot, paving, or adjoining footing.
Live load surcharge is taken into consideration while vehicular moves act at the floor of backfill soil at a distance, which same or much less than the wall top from the wall again face.

Where,
γ: is the density of soil
W: is the uniform surcharge load
H: is the height of the wall
P1=Ka WH –> Equation 7
P2=0.5KaH2 –>Equation 8
F=0.0026V2 –> Equation 9
Where:
F: wind pressure
V: Velocity of the wind
According to ASCE 7 design wind pressure (F) is calculated using the following simplified formula:
F=qz GGf –> Equation 10
Where:
G: is the gust factor (0.85 can be used)
Gf: Commonly taken as 1.2
qz: is the velocity pressure at mid-height and can be calculated using the following formula:
qz=0.613Kz Kzt Kd V2 –> Equation 11
Where:
Kz: wind directionality factor, can be calculated by section 26.6 of ASCE 7-10
Kzt: Velocity pressure exposure coefficient, can be determined in section 26.6 of ASCE 7-10
Kd: Topographic factor see the section, can be determined 26.6 of ASCE 7-10
V: Basic wind speed in m/s
There are various types of surcharge loads such as:
a. Highway surcharges
b. Backfill compaction surcharge
c. Adjacent footing surcharge
7.3. Axial Forces Acting on Retaining Wall
If there are different systems supported at the Retaining wall, we need to do not forget their impact on the design. Axial load screw-ups aren’t unusual place forms of screw-ups withinside the Retaining wall because the is a great phase to hold the vertical hundreds.
Sometimes, a Retaining wall and its basis are taken into consideration as a column basis in a number of the systems.
In this sort of situation, accurate design for the remaining restriction country and serviceability restriction level will be done.
7.4. Wind Forces on Projecting Stem
Usually, wind loads aren’t that vital for preserving partitions. However, whilst there are different structures at the free-status retaining wall, it can have an effect on stability.
For example, tall boundary partitions constructed at the wall may want to have a few impacts. But, it may not be that vital.
7.5. Impact loads Acting on Retaining Wall
Design retaining wall for car bumper might be needed when the wall increases above grade, and the parking area is near to it.
When a retaining wall is designed for impact loads, the stem should be maintained at equally spaced points along stem length from top to the bottom as impact load spread at the bigger length of the stem. Use the slope of two verticals to one horizontal for the spreading impact load.
Parts of Retaining Wall
1. Surcharge
2. Front face
3. Stem
4. Weep hole
5. Toe
6. Base
7. Hell
8. Angle of repose
8. Advantages of Retaining Wall
a. It is economical to construct.
b. Durable and requirement of low maintenance.
c. Eco-friendly
d. It improves the aesthetic beauty of the place where constructed.
e. It is multi-functional ( i.e. it can be used from flood control to decorative purposes ).
9. Disadvantages of Retaining Wall
a. Vertical Crack
Due to extreme pressure and change in temperature, there is a high possibility of a Vertical crack on the retaining wall.
b. Failing Foundation
Few retaining walls are unable to resist the high pressure from the soil, which usually leads to failure of Structure.
c. Termites
When timber is used as retaining walls it attracts termites to your property. Fixing this problem can be very expensive.
| Read More: Hempcrete |
